|
| TETRAISOPROPYL DI(DIOCTYLPHOSPHATE) TITANATE |
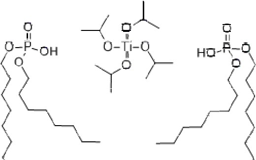
Product Name:tetraisopropyl di(dioctylphosphate) titanate CAS NO: 65460-52-8 Molecular Formula:C44H98O11P2Ti Structural Formula:
1, Appearance,yellow transparent sticky liquid
Product TDS download please click here /Public/userfiles/files/TDS HW-401.pdf |
Office:No.104,#16,Yinhewan,Yingbin Road No.8,Tunxi District,Huangshan City.
Factory(1):Huizhou District,Huangshan City,Anhui Province.
Factory(2):Dongying City,Shandong Province.
Factory(3):Yangkou Town,Shouguang City,Shandong Province.
Tel:+86-559-2335676-888
Mobile:+86-18955921600
Fax:+86-559-2331637
CEO:Mr.John Xu
E-mail:johnxu@kbrchem.com